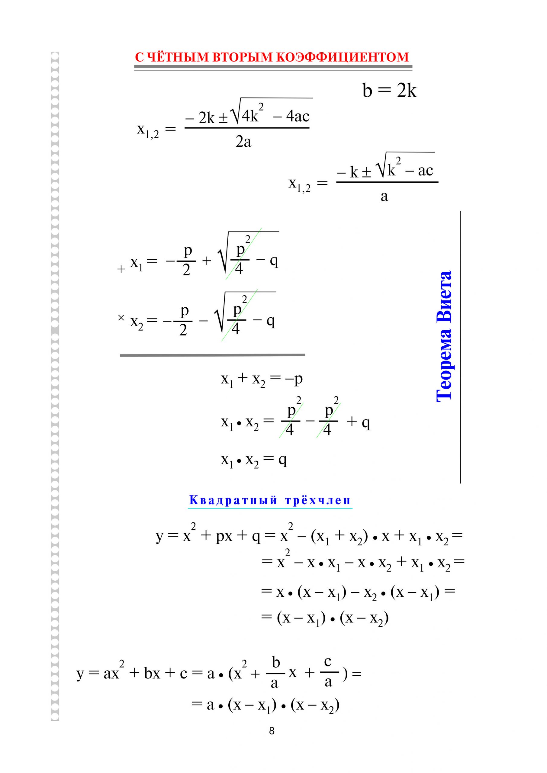
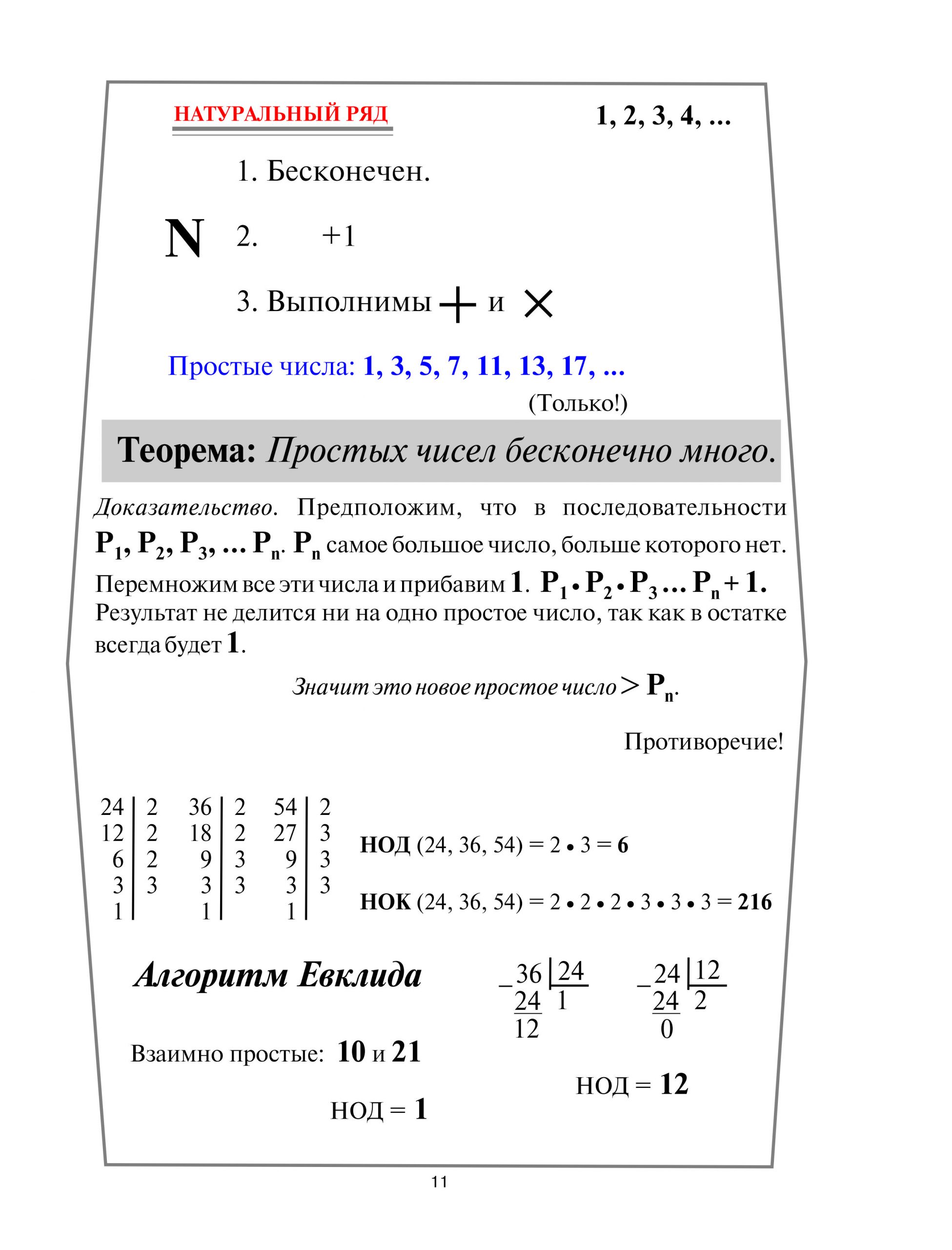
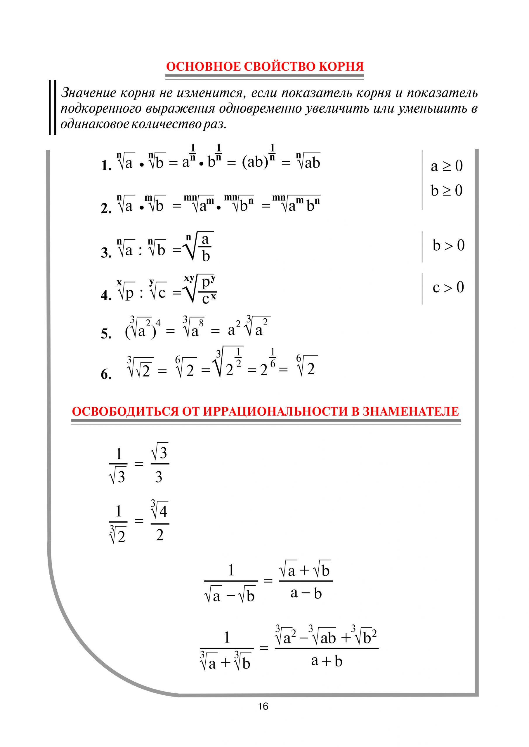
2.1. Алгебра в средней школе (опорные конспекты В. Шаталова, Народного учителя СССР, для 7-11 кл. Формат А4). Алгебраические волны+Изустная алгебра — два пособия в одной книге
Описание
Шаталов В.Ф., Народный учитель СССР.
Алгебраические волны (опорные конспекты по алгебре 7-8 классов)+Изустная алгебра (опорные конспекты по алгебре 9-11 классы) в одном пособии (В интернет-магазине можно купить эти пособия и отдельно).
Объем : Москва. Школа Шаталова. 2023 г. Формат А4. 56 стр. (Отпечатано по прижизненным пособиям В.Шаталова, изданным в Школе Шаталова в 2007-2009 годах).
«Алгебраические волны» — Учебное пособие (опорный конспект) по алгебре включает в себя темы по программе 7-8 классов и наиболее эффективен с видеофильмом Шаталова В.Ф. по алгебре «Алгебра 7-8 классы (Алгебраические волны)» на дисках DVD или флешке (можно купить на этом маркетплейсе), где каждый конспект-опора разбирается. Но пособие может использоваться и самостоятельно. В книге в виде опорных конспектов, сжато, изложены все темы школьной программы по алгебре 7-8 кл.
«Изустная алгебра» — Учебное пособие (опорный конспект) по основным темам алгебры 9-11 классов. В пособие представлены опорные конспекты и их краткое объяснение.
Наиболее эффективно с учебными фильмами Шаталова В.Ф. и Данилович Р.М. для учеников старших классов при подготовке к ОГЭ и ЕГЭ.
Все опорные конспекты выполнены в цвете.
ШАТАЛОВ Виктор Фёдорович, Народный учитель СССР
Ученый педагог, преподаватель математики, директор школы. С 1987 г. Заведующий лабораторией проблем интенсификации учебно-воспитательного процесса НИИ содержания и методов обучения АПН СССР в Донецке.
Разработал систему обучения с использованием опорных сигналов – взаимосвязанных ключевых слов, условных знаков, рисунков и формул с кратким выводом. Практическая деятельность основана на педагогике сотрудничества.
50 лет педагогического стажа – исследования и эксперименты. Издано более 50 книг, многие переведены на 17 языков.
Заслуженный учитель Украины, кавалер ордена «Николая Чудотворца» за преумножение добра на Земле, ордена Дружбы (Указ Президента РФ от 19.11.2007 г.), лауреат премии Сороса, Почетный президент итальянской Ассоциации «Данте Алигьери».
Донецкий педагог-новатор творил невероятное. Уже первый экспериментальный класс в школе Шаталова завершил изучение школьного курса на два года раньше программы, все 33 ученика стали студентами вузов, 17 из них получали повышенные стипендии. Из, казалось, безнадежных учеников (экспериментатору отдавали классы «Г» и «Д») вышли 64 кандидата наук, 12 докторов.































